New Materials Creating New Performance!
Antioxidant | Ultraviolet Absorber | Light Stabilizer | Photoinitiator
 
 

ABOUT TINTOLL | Research & Development | Quality Assurance | News | Career | Contact Us |
PRODUCTS | Antioxidant | Ultraviolet Absorber | Light Stabilizer | Photoinitiator |

PRODUCTS - Light Stabilizers - Hindered Amines

SiSiB CODE CHEMICAL NAME CAS NO.
PowerStab™ 119 1,5,8,12-tetrakis[4,6-bis(n-butyl-n-1,2,2,6,6-pentamethyl-4-piperidylamino)-1,3,5-triazin-2-yl]-1,5,8,12-tetraazadodecane 106990-43-6
PowerStab™ 123 Bis(1-octyloxy-2,2,6,6-tetramethyl-4-piperidyl) sebacate 129757-67-1
 
PowerStab™ 144 Bis(1,2,2,6,6-pentamethyl-4-piperidinyl)-[[3,5-bis(1,1-dimethylethyl)-4-hydroxyphenyl]methyl]butylmalonate 63843-89-0
   
PowerStab™ 292 Bis(1,2,2,6,6-pentamethyl-4-piperidinyl)-sebacate, 1-(Methyl)-8-(1,2,2,6,6-pentamethyl-4-piperidinyl)-sebacate 41556-26-7
  82919-37-7
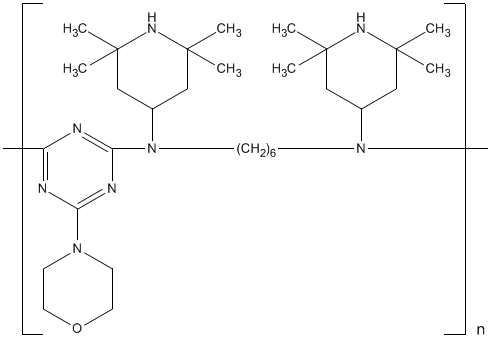
PowerStab™3346 N,N'-Bis(2,2,6,6-tetramethyl-4-piperidinyl)-1,6-hexanediamine-2,4-dichloro-6-morpholino-1,3,5-triazine copolymer 82451-48-7
   
PowerStab™3529 N,N'-Bis(2,2,6,6-tetramethyl-4-piperidinyl)-1,6-hexanediamine polymers with
morpholine-2,4,6-trichloro-1,3,5-triazine reaction products, methylated
193098-40-7
   
PowerStab™ 3853 Fatty acids, C12-21 and C18-unsaturated, 2,2,6,6-tetramethyl-4-piperidinyl esters 167078-06-0
   
PowerStab™ 3853PP5 Fatty acids, C12-21 and C18-unsaturated,2,2,6,6-tetramethyl-4-piperidinyl esters Polypropylene 167078-06-0, 9003-07-0
   
PowerStab™ 622 Butanedioic acid, 1,4-dimethyl ester, polymer with 4-hydroxy-2,2,6,6-tetramethyl-1-piperidineethanol 65447-77-0
   
PowerStab™ 770 Bis(2,2,6,6-tetramethyl-4-piperidyl) sebacate 52829-07-9
   
PowerStab™7794 PowerStab™ 770 / PowerStab™ 944 = 1/1 Blend
     
PowerStab™ 783 PowerStab™ 622 / PowerStab™ 944= 1/1 Blend
     
PowerStab™ 944 Poly[[6-[(1,1,3,3-tetramethylbutyl)amino]-1,3,5-triazine-2,4-diyl][(2,2,6,6-
tetramethyl-4-piperidinyl)imino]-1,6-hexanediyl[(2,2,6,6-tetramethyl-4-piperidinyl)imino]])
71878-19-8
70624-18-9
   
PowerStab™ 945 N,N’-bisformyl-N,N’-bis-(2,2,6,6-tetramethyl-4-piperidinyl)-hexamethylendiamine 124172-53-8
   

Download Polymer Additives Brochure

Search    

Download TinToll Performance Materials Brochure

ABOUT TINTOLL | Research & Development | Quality Assurance | News | Career | Contact Us |
OUR PRODUCTS | Antioxidant | Ultraviolet Absorber | Light Stabilizer | Photoinitiator |

SINOPCC GROUP | SILANES & SILICONES | POLYMER ADDITIVES | SPECIALTY CHEMICALS